https://programmers.co.kr/learn/courses/30/lessons/12978
코딩테스트 연습 - 배달
5 [[1,2,1],[2,3,3],[5,2,2],[1,4,2],[5,3,1],[5,4,2]] 3 4 6 [[1,2,1],[1,3,2],[2,3,2],[3,4,3],[3,5,2],[3,5,3],[5,6,1]] 4 4
programmers.co.kr
문제 설명
N개의 마을로 이루어진 나라가 있습니다. 이 나라의 각 마을에는 1부터 N까지의 번호가 각각 하나씩 부여되어 있습니다. 각 마을은 양방향으로 통행할 수 있는 도로로 연결되어 있는데, 서로 다른 마을 간에 이동할 때는 이 도로를 지나야 합니다. 도로를 지날 때 걸리는 시간은 도로별로 다릅니다. 현재 1번 마을에 있는 음식점에서 각 마을로 음식 배달을 하려고 합니다. 각 마을로부터 음식 주문을 받으려고 하는데, N개의 마을 중에서 K 시간 이하로 배달이 가능한 마을에서만 주문을 받으려고 합니다. 다음은 N = 5, K = 3인 경우의 예시입니다.

위 그림에서 1번 마을에 있는 음식점은 [1, 2, 4, 5] 번 마을까지는 3 이하의 시간에 배달할 수 있습니다. 그러나 3번 마을까지는 3시간 이내로 배달할 수 있는 경로가 없으므로 3번 마을에서는 주문을 받지 않습니다. 따라서 1번 마을에 있는 음식점이 배달 주문을 받을 수 있는 마을은 4개가 됩니다.
마을의 개수 N, 각 마을을 연결하는 도로의 정보 road, 음식 배달이 가능한 시간 K가 매개변수로 주어질 때, 음식 주문을 받을 수 있는 마을의 개수를 return 하도록 solution 함수를 완성해주세요.
- 마을의 개수 N은 1 이상 50 이하의 자연수입니다.
- road의 길이(도로 정보의 개수)는 1 이상 2,000 이하입니다.
- road의 각 원소는 마을을 연결하고 있는 각 도로의 정보를 나타냅니다.
- road는 길이가 3인 배열이며, 순서대로 (a, b, c)를 나타냅니다.
- a, b(1 ≤ a, b ≤ N, a != b)는 도로가 연결하는 두 마을의 번호이며, c(1 ≤ c ≤ 10,000, c는 자연수)는 도로를 지나는데 걸리는 시간입니다.
- 두 마을 a, b를 연결하는 도로는 여러 개가 있을 수 있습니다.
- 한 도로의 정보가 여러 번 중복해서 주어지지 않습니다.
- K는 음식 배달이 가능한 시간을 나타내며, 1 이상 500,000 이하입니다.
- 임의의 두 마을간에 항상 이동 가능한 경로가 존재합니다.
- 1번 마을에 있는 음식점이 K 이하의 시간에 배달이 가능한 마을의 개수를 return 하면 됩니다.
입출력 예
| N | road | K | result |
| 5 | [[1,2,1],[2,3,3],[5,2,2],[1,4,2],[5,3,1],[5,4,2]] | 3 | 4 |
| 6 | [[1,2,1],[1,3,2],[2,3,2],[3,4,3],[3,5,2],[3,5,3],[5,6,1]] | 4 | 4 |
입출력 예 #1
문제의 예시와 같습니다.
입출력 예 #2
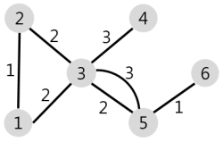
주어진 마을과 도로의 모양은 아래 그림과 같습니다.

1번 마을에서 배달에 4시간 이하가 걸리는 마을은 [1, 2, 3, 5] 4개이므로 4를 return 합니다.
문제풀이
1. 1번 마을부터 각 마을까지의 배달 시간을 저장하는 배열(delivery_Time), 각 마을과 마을 사이의 배달 시간을 저장하는 2차원 배열(delivery_graph)을 선언
2. 파라미터로 받은 각 마을을 연결하는 도로의 정보(road)를 반복문을 돌면서, delivery_graph에 각 마을을 연결하는 도로의 배달 시간을 저장
3. 우선순위 큐(queue)를 생성하고 첫 번째 마을을 우선순위 큐에 저장한다.
4. 큐가 빈 값이 아닐 때까지 반복문을 돌면서, 현재 목적지(cus_des), 현재 목적지 시간(time)을 선언하고 큐의 첫 요소를 삭제한다. 각 마을의 반복문을 돌면서 각 마을을 연결하는 최소한의 배달 시간을 저장한다.
5. 파라마터로 받은 음식 배달이 가능한 시간(k)보다 이하인 시간들의 개수를 추출하여 반환한다.
import Foundation
func solution(_ N:Int, _ road:[[Int]], _ k:Int) -> Int {
var delivery_Time = Array(repeating: k + 1, count: N + 1)
var delivery_graph = Array(repeating: Array(repeating: 0, count: N + 1), count: N + 1)
for r in road {
let start = r[0]
let finish = r[1]
let time = r[2]
if delivery_graph[start][finish] == 0 {
delivery_graph[start][finish] = time
delivery_graph[finish][start] = time
} else {
if time < delivery_graph[start][finish] {
delivery_graph[start][finish] = time
delivery_graph[finish][start] = time
}
}
}
var queue = [(Int, Int)]()
delivery_Time[1] = 0
queue.append((1,delivery_Time[1]))
while !queue.isEmpty {
let cur_des = queue.first!.0
let time = queue.first!.1
queue.removeFirst()
for i in 1...N {
if delivery_graph[cur_des][i] != 0 && time + delivery_graph[cur_des][i] < delivery_Time[i] {
delivery_Time[i] = time + delivery_graph[cur_des][i]
queue.append((i,delivery_Time[i]))
}
}
}
return delivery_Time.filter { $0 <= k }.count
}'Algorithm' 카테고리의 다른 글
| [프로그래머스] 카펫 (0) | 2022.02.03 |
|---|---|
| [프로그래머스] 신고 결과 받기 (0) | 2022.01.24 |
| [프로그래머스] 괄호 회전하기 (0) | 2022.01.07 |
| [프로그래머스] 후보키 (0) | 2022.01.06 |
| [프로그래머스] 순위 검색 (0) | 2022.01.05 |